1、活塞压力计的基本原理
活塞式压力计是根据流体静力学原理设计的,即作用在活塞有效面积上流体压力与所负荷重力相平衡,如图1所示。
活塞压力计应悬浮在活塞筒中并处于一个固定位置。为了避免产生静摩擦力,在工作时使活塞杆与活塞筒之间有一相对旋转运动,活塞筒与活塞杆之间有一相对旋转运动而使活塞杆处于活塞筒中间位置。所产生压力大小基本公式如下:

式中:Ae为参考温度下活塞的有效面积,m2;m为砝码、活塞及连接件总质量,kg;g为当地的重力加速度,m·s2。

2、活塞压力计的一般检定[1.2]
(1)活塞有效面积的检定方法分为起始平衡法和直接平衡法(也称全压法),在我国过去的活塞压力计检定规程中都规定采用起始平衡法对活塞有效面积进行检定,新修订的JJG59-2007《活塞压力计检定规程》中增加了直接平衡法,并分别规定了使用这两种方法进行检定的条件。
(2)规程上规定在两个活塞参数相同或准确度要求低时才使用该方法,在使用起始平衡法时没有实时修正,需要检测环境温度的稳定度。悦进等人指出环境温度不是主要影响量,但温度的变化却对结果影响很大。使用直接平衡法时,需要准确测量高度差和砝码质量。
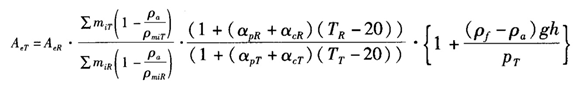
(3)以油为介质的活塞压力计中,其直接平衡法的公式为:

式中:Aer、Aet为被测标准和参考标准的有效面积,T为被测标准活塞压力计,R为标准活塞压力计,mi为活塞杆、承重挂盘和砝码的总质量,αp、αc为活塞杆和活塞筒的热膨胀系数,ρa、ρm为大气和砝码密度,ρf为液体介质的密度,h为参考面的高度差,中括号的第二项其正负值取决于参考面的高低。不同介质(变压器油或癸二酸二异辛酯和气体)其高度差测不准带来的误差相差很大,如对于产生1MPa的标准压力,1mm油柱测量不准带来的相对误差为:

同理1mm气柱测量带来的相对误差为1×10-7。比较平衡法会减小高度差测不准带来的影响。由此可见,在气体活塞有效面积的检定中,可以使用直接平衡法。在油介质活塞有效面积的检定中,使用起始平衡法是合理的。起始平衡法的公式为:

当被检活塞压力计和标准活塞压力计的温度发生变化时,加上温度修正公式变为:
如果被检活塞压力计和参考活塞压力计的材质参数完全相等,则上式可简化为:

前提是平衡点的温度是基本保持不变的,否则需要对平衡点温度变化引起的误差进行修正。
联系人:office
手 机:0913-8563896 / 15877552632
邮 箱:office@taiholl.com
公 司:陕西泰汇尔仪器制造有限公司
地 址:陕西省渭南市大荔县许庄镇党家村4组